开始之前
本人对各种渲染技术很感兴趣,但由于现实原因不能深入探索。对Unity中预计算大气渲染技术研究是出于爱好,在课余业余时间自学的,仅仅是阅读到刚刚能看懂个大概的水平。我觉得从理论/物理,到数学公式,再到代码的过程十分神奇,我的学习过程就是通过代码的实现,反推其中的几何/物理原理。尽管我是自学,并没有深厚的学术背景,但通过反向工程和参考各种资源,我逐渐拼凑出了大气散射的复杂机制及其实现方式。
参考的Unity项目仓库:https://github.com/Scrawk/Brunetons-Improved-Atmospheric-Scattering
参考的散射原理(后期看到多次散射才找到ebruneton的原文):
本篇内容
// 计算透射度材质
compute.Dispatch(compute_transmittance, CONSTANTS.TRANSMITTANCE_WIDTH / NUM_THREADS, CONSTANTS.TRANSMITTANCE_HEIGHT / NUM_THREADS, 1);
// 计算没有经过任何散射的地面直接辐照度
compute.Dispatch(compute_direct_irradiance, CONSTANTS.IRRADIANCE_WIDTH / NUM_THREADS, CONSTANTS.IRRADIANCE_HEIGHT / NUM_THREADS, 1);
// 计算3D单次散射纹理
for (int layer = 0; layer < CONSTANTS.SCATTERING_DEPTH; ++layer)
{
// 计算3D texture ScatteringArray
compute.SetInt("layer", layer);
compute.Dispatch(compute_single_scattering, CONSTANTS.SCATTERING_WIDTH / NUM_THREADS, CONSTANTS.SCATTERING_HEIGHT / NUM_THREADS, 1);
}
// 循环计算多次散射
for (int scattering_order = 2; scattering_order <= num_scattering_orders; ++scattering_order)
{
// 计算大气辐射度
for (int layer = 0; layer < CONSTANTS.SCATTERING_DEPTH; ++layer)
{
compute.SetInt("layer", layer);
compute.Dispatch(compute_scattering_density, CONSTANTS.SCATTERING_WIDTH / NUM_THREADS, CONSTANTS.SCATTERING_HEIGHT / NUM_THREADS, 1);
}
// 计算来自地面的辐照度
compute.Dispatch(compute_indirect_irradiance, CONSTANTS.IRRADIANCE_WIDTH / NUM_THREADS, CONSTANTS.IRRADIANCE_HEIGHT / NUM_THREADS, 1);
// 利用上面两项计算出本阶的多次散射
for (int layer = 0; layer < CONSTANTS.SCATTERING_DEPTH; ++layer)
{
compute.SetInt("layer", layer);
compute.Dispatch(compute_multiple_scattering, CONSTANTS.SCATTERING_WIDTH / NUM_THREADS, CONSTANTS.SCATTERING_HEIGHT / NUM_THREADS, 1);
}
}本篇主要讲解
各种常量
上面代码中的第一阶段——计算透射度材质
各常量解析
CIE_2_DEG_COLOR_MATCHING_FUNCTIONS
// Values from "CIE (1931) 2-deg color matching functions"
public static readonly double[] CIE_2_DEG_COLOR_MATCHING_FUNCTIONS = new double[]
{
360, 0.000129900000, 0.000003917000, 0.000606100000,
365, 0.000232100000, 0.000006965000, 0.001086000000,
370, 0.000414900000, 0.000012390000, 0.001946000000,
375, 0.000741600000, 0.000022020000, 0.003486000000,
380, 0.001368000000, 0.000039000000, 0.006450001000,
385, 0.002236000000, 0.000064000000, 0.010549990000,
390, 0.004243000000, 0.000120000000, 0.020050010000,
// …(中间数据省略)
800, 0.000010253980, 0.000003702900, 0.000000000000,
805, 0.000007221456, 0.000002607800, 0.000000000000,
810, 0.000005085868, 0.000001836600, 0.000000000000,
815, 0.000003581652, 0.000001293400, 0.000000000000,
820, 0.000002522525, 0.000000910930, 0.000000000000,
825, 0.000001776509, 0.000000641530, 0.000000000000,
830, 0.000001251141, 0.000000451810, 0.000000000000,
};数组中每4个元素描述不同波长(从360 nm到830 nm)下的三个颜色匹配函数的值x̅(λ)、y̅(λ) 和 z̅(λ) 。CIE 1931 2° 标准观察者颜色匹配函数中的 x̅(λ)、y̅(λ) 和 z̅(λ) 分别代表了人眼在不同波长光下对三种“假想原色”刺激的敏感程度。
这是通过大量的视觉匹配实验,使用一个 2° 的视野角,确定了人眼如何混合不同光谱的光以匹配某个参考光色。实验中受试者用三个不同的光源(称作原色刺激)来匹配不同波长的单色光。为了满足任何光谱混合都能用三个数值准确描述的要求,人类视觉系统所呈现的感知被重新定义为一组数学上构造的“虚拟原色” X、Y、Z,而这些虚拟原色不是物理上存在的光,而是经过一定变换后的结果。
x̅(λ)
这个函数描述了在特定波长λ下,人眼对“X 原色”的响应权重。X 通常与红光成分较为相关,但它是经过数学构造用以补偿人眼对颜色敏感度不均的部分。y̅(λ)
这个函数与亮度(或称明度)密切相关。Y 函数被精心选择以近似人眼在明亮环境下的亮度感受函数,所以它代表了光源的亮度信息。当我们计算光源的“明度”时,实际上是对光谱加权 y̅(λ) 后得到的积分值。z̅(λ)
z̅(λ) 则描述了在特定波长下对“Z 原色”的响应,这一分量主要补充了 X 和 Y 无法覆盖的蓝色及紫色部分。Z 的引入确保了 CIE XYZ 色彩空间能够涵盖人眼可见光谱的全貌。
XYZ_TO_SRGB
// The conversion matrix from XYZ to linear sRGB color spaces.
// Values from https://en.wikipedia.org/wiki/SRGB.
public static readonly double[] XYZ_TO_SRGB = new double[]
{
+3.2406, -1.5372, -0.4986,
-0.9689, +1.8758, +0.0415,
+0.0557, -0.2040, +1.0570
};这个3×3矩阵用于将线性 XYZ 颜色空间的值转换为线性 sRGB 颜色空间,转换矩阵的数值取自 Wikipedia 上关于 sRGB 的标准描述。转换过程中可能还会加入伽玛校正以得到最终的显示结果。
https://en.wikipedia.org/wiki/SRGB
距离/角度相关
static readonly float kSunAngularRadius = 0.00935f / 2.0f;
static readonly float kBottomRadius = 6360000.0f;
static readonly float kLengthUnitInMeters = 1000.0f;
double max_sun_zenith_angle = (UseHalfPrecision ? 102.0 : 120.0) / 180.0 * Mathf.PI;kSunAngularRadius : 太阳的角半径(除以2后),用于描述太阳在天空中的视角大小。
角直径与角半径
天文中描述一个天体在天空中的大小时,常用到“角直径”这个概念。角直径指的是从观察者视点看到天体两个边缘之间形成的角度。例如,太阳的角直径大约为 0.00935 弧度(约 0.53°)。
角半径 则是角直径的一半,表示从天体中心到边缘所占用的角度。
kBottomRadius : 地球的半径,也是大气层下界
kLengthUnitInMeters : 1 单位 = 1000 米,便于缩放计算
max_sun_zenith_angle : 太阳光顶角的最大余弦值,在此角度下大气散射仍然有效。必须预先计算(为了获得最大的精度,需要使用最合适的最小的太阳高度角)。例如,对于地球情况,102° 是一个不错的选择,此时 mu_s_min = -0.2)。
太阳辐照度数据
double[] kSolarIrradiance = new double[]
{
1.11776, 1.14259, 1.01249, 1.14716, 1.72765, 1.73054, 1.6887, 1.61253,
1.91198, 2.03474, 2.02042, 2.02212, 1.93377, 1.95809, 1.91686, 1.8298,
1.8685, 1.8931, 1.85149, 1.8504, 1.8341, 1.8345, 1.8147, 1.78158, 1.7533,
1.6965, 1.68194, 1.64654, 1.6048, 1.52143, 1.55622, 1.5113, 1.474, 1.4482,
1.41018, 1.36775, 1.34188, 1.31429, 1.28303, 1.26758, 1.2367, 1.2082,
1.18737, 1.14683, 1.12362, 1.1058, 1.07124, 1.04992
};https://www2.nrel.gov/grid/solar-resource/spectra-am1.5
数组中的每个值代表一个波段(每个波段宽度为 10nm)内的太阳辐照度,值的单位是 W/m²(瓦每平方米)
这些辐照度数据摘自 ASTM G-173 标准光谱,这是一个公认的标准数据集,通常用于精确描述太阳光谱在地表附近(标准大气条件下)的分布。
臭氧截面数据
https://www.iup.uni-bremen.de/gruppen/molspec/databases/referencespectra/o3spectra2011/index.html
double[] kOzoneCrossSection = new double[]
{
1.18e-27, 2.182e-28, 2.818e-28, 6.636e-28, 1.527e-27, 2.763e-27, 5.52e-27,
8.451e-27, 1.582e-26, 2.316e-26, 3.669e-26, 4.924e-26, 7.752e-26, 9.016e-26,
1.48e-25, 1.602e-25, 2.139e-25, 2.755e-25, 3.091e-25, 3.5e-25, 4.266e-25,
4.672e-25, 4.398e-25, 4.701e-25, 5.019e-25, 4.305e-25, 3.74e-25, 3.215e-25,
2.662e-25, 2.238e-25, 1.852e-25, 1.473e-25, 1.209e-25, 9.423e-26, 7.455e-26,
6.566e-26, 5.105e-26, 4.15e-26, 4.228e-26, 3.237e-26, 2.451e-26, 2.801e-26,
2.534e-26, 1.624e-26, 1.465e-26, 2.078e-26, 1.383e-26, 7.105e-27
};数组中每个值表示臭氧(O₃)在特定 10nm 波段内的光学截面,单位为 m²(平方米)。
“截面”描述的是一个分子或原子与光子相互作用(吸收或散射)的概率,单位一般是平方米(m²)。数值越大,表示该波段内光子与臭氧分子发生相互作用的可能性越高。臭氧对光的吸收能力与波长非常相关,尤其是在紫外区域,臭氧截面会显著增大,从而有效地吸收进入大气层的紫外光。臭氧在约254 nm的波长处具有强烈的吸收峰,这是臭氧层吸收紫外-C辐射的关键区域。在更长波长的紫外-B区域(约280–315 nm),臭氧的吸收能力仍然显著,但不如UV-C区域强烈。
计算臭氧密度
// From https://en.wikipedia.org/wiki/Dobson_unit, in molecules.m^-2.
double kDobsonUnit = 2.687e20;
// Maximum number density of ozone molecules, in m^-3 (computed so at to get
// 300 Dobson units of ozone - for this we divide 300 DU by the integral of
// the ozone density profile defined below, which is equal to 15km).
double kMaxOzoneNumberDensity = 300.0 * kDobsonUnit / 15000.0;DU 等于 2.687×10^20 个臭氧分子每平方米,即如果将臭氧在一个垂直大气柱中全部压缩到标准状况下,厚度大约为 0.01 毫米。
在代码中,kDobsonUnit 被定义为 2.687e20,表示每 1 DU 的臭氧分子的数量。
MaxOzoneNumberDensity : 臭氧的最大分子数密度。表示假设 300 DU 均匀分布在 15 公里(15000 米)的厚度中,得到平均臭氧分子的数密度。
大气密度剖面
// An atmosphere layer of width 'width', and whose density is defined as
// 'exp_term' * exp('exp_scale' * h) + 'linear_term' * h + 'constant_term',
// clamped to [0,1], and where h is the altitude.
struct DensityProfileLayer {
Length width;
Number exp_term;
InverseLength exp_scale;
InverseLength linear_term;
Number constant_term;
};一个宽度为'width'的大气层,其密度定义为
'exp_term' * exp('exp_scale' * h) + 'linear_term' * h + 'constant_term',
并且被限制在[0,1]范围内,其中 h 是海拔。
下面是各个密度层的定义:
double kRayleighScaleHeight = 8000.0;
double kMieScaleHeight = 1200.0;DensityProfileLayer rayleigh_layer = new DensityProfileLayer("rayleigh", 0.0, 1.0, -1.0 / kRayleighScaleHeight, 0.0, 0.0);
DensityProfileLayer mie_layer = new DensityProfileLayer("mie", 0.0, 1.0, -1.0 / kMieScaleHeight, 0.0, 0.0);
// Density profile increasing linearly from 0 to 1 between 10 and 25km, and
// decreasing linearly from 1 to 0 between 25 and 40km. This is an approximate
// profile from http://www.kln.ac.lk/science/Chemistry/Teaching_Resources/
// Documents/Introduction%20to%20atmospheric%20chemistry.pdf (page 10).
List<DensityProfileLayer> ozone_density = new List<DensityProfileLayer>();
ozone_density.Add(new DensityProfileLayer("absorption0", 25000.0, 0.0, 0.0, 1.0 / 15000.0, -2.0 / 3.0));
ozone_density.Add(new DensityProfileLayer("absorption1", 0.0, 0.0, 0.0, -1.0 / 15000.0, 8.0 / 3.0));预计算常量
double kTopRadius = 6420000.0;
double kRayleigh = 1.24062e-6;
double kMieAngstromAlpha = 0.0;
double kMieAngstromBeta = 5.328e-3;
double kMieSingleScatteringAlbedo = 0.9;
double kMiePhaseFunctionG = 0.8;
double kGroundAlbedo = 0.1;List<double> wavelengths = new List<double>();
List<double> solar_irradiance = new List<double>();
List<double> rayleigh_scattering = new List<double>();
List<double> mie_scattering = new List<double>();
List<double> mie_extinction = new List<double>();
List<double> absorption_extinction = new List<double>();
List<double> ground_albedo = new List<double>();
for (int l = kLambdaMin; l <= kLambdaMax; l += 10)
{
double lambda = l * 1e-3; // micro-meters
double mie = kMieAngstromBeta / kMieScaleHeight * Math.Pow(lambda, -kMieAngstromAlpha);
wavelengths.Add(l);
solar_irradiance.Add(kSolarIrradiance[(l - kLambdaMin) / 10]);
rayleigh_scattering.Add(kRayleigh * Math.Pow(lambda, -4));
mie_scattering.Add(mie * kMieSingleScatteringAlbedo);
mie_extinction.Add(mie);
absorption_extinction.Add(UseOzone ? kMaxOzoneNumberDensity * kOzoneCrossSection[(l - kLambdaMin) / 10] : 0.0);
ground_albedo.Add(kGroundAlbedo);
}Note:Rayleigh 散射理论指出,当散射粒子的尺寸远小于入射光波长时(例如大气中的气体分子),散射截面与波长的四次方成反比。
直接解析的 Mie 理论计算十分复杂,因此工程中常采用经验公式近似描述散射系数的波长依赖性。其中一种常用的方法就是应用 Angstrom 公式:
double max_sun_zenith_angle = (UseHalfPrecision ? 102.0 : 120.0) / 180.0 * Mathf.PI; 指的是太阳位置与垂直方向之间的角度。
在大气渲染时,往往会考虑到太阳低于地平线的情况(例如日落后的一段时间,这个时候太阳与地面的法线夹角大概是90°),但太阳本身有大小,所以当中心点过了90°时还有部分露在上面,因此允许天顶角超过 90°。
常量赋值
m_model = new Model();
m_model.HalfPrecision = UseHalfPrecision;
m_model.CombineScatteringTextures = UseCombinedTextures;
m_model.UseLuminance = UseLuminance;
m_model.Wavelengths = wavelengths;
m_model.SolarIrradiance = solar_irradiance;
m_model.SunAngularRadius = kSunAngularRadius;
m_model.BottomRadius = kBottomRadius;
m_model.TopRadius = kTopRadius;
m_model.RayleighDensity = rayleigh_layer;
m_model.RayleighScattering = rayleigh_scattering;
m_model.MieDensity = mie_layer;
m_model.MieScattering = mie_scattering;
m_model.MieExtinction = mie_extinction;
m_model.MiePhaseFunctionG = kMiePhaseFunctionG;
m_model.AbsorptionDensity = ozone_density;
m_model.AbsorptionExtinction = absorption_extinction;
m_model.GroundAlbedo = ground_albedo;
m_model.MaxSunZenithAngle = max_sun_zenith_angle;
m_model.LengthUnitInMeters = kLengthUnitInMeters;Note: kMiePhaseFunctionG 是在 Mie 散射相函数中用来描述散射方向性(或称为各向异性)的一个参数,通常称为“渐近因子”或“偏斜因子"。

Henyey-Greenstein (HG) 相函数(入射光线方向和散射光线方向有夹角θ,散射值与这个夹角有关,这部分被提取出来叫做相函数)中,θ 是散射角,而 g 就是 kMiePhaseFunctionG,表示平均散射角的余弦值。
预计算天空和太阳的IrradianceToLuminance
private static void ComputeSpectralRadianceToLuminanceFactors(IList<double> wavelengths, IList<double> solar_irradiance, double lambda_power, out double k_r, out double k_g, out double k_b)
{
k_r = 0.0;
k_g = 0.0;
k_b = 0.0;
double solar_r = Interpolate(wavelengths, solar_irradiance, kLambdaR);
double solar_g = Interpolate(wavelengths, solar_irradiance, kLambdaG);
double solar_b = Interpolate(wavelengths, solar_irradiance, kLambdaB);
int dlambda = 1;
for (int lambda = kLambdaMin; lambda < kLambdaMax; lambda += dlambda)
{
//
double x_bar = SampleCIEColorMatchingFunction(lambda, 1);
double y_bar = SampleCIEColorMatchingFunction(lambda, 2);
double z_bar = SampleCIEColorMatchingFunction(lambda, 3);
double[] xyz2srgb = CONSTANTS.XYZ_TO_SRGB;
double r_bar = xyz2srgb[0] * x_bar + xyz2srgb[1] * y_bar + xyz2srgb[2] * z_bar;
double g_bar = xyz2srgb[3] * x_bar + xyz2srgb[4] * y_bar + xyz2srgb[5] * z_bar;
double b_bar = xyz2srgb[6] * x_bar + xyz2srgb[7] * y_bar + xyz2srgb[8] * z_bar;
double irradiance = Interpolate(wavelengths, solar_irradiance, lambda);
k_r += r_bar * irradiance / solar_r * Math.Pow(lambda / kLambdaR, lambda_power);
k_g += g_bar * irradiance / solar_g * Math.Pow(lambda / kLambdaG, lambda_power);
k_b += b_bar * irradiance / solar_b * Math.Pow(lambda / kLambdaB, lambda_power);
}
k_r *= CONSTANTS.MAX_LUMINOUS_EFFICACY * dlambda;
k_g *= CONSTANTS.MAX_LUMINOUS_EFFICACY * dlambda;
k_b *= CONSTANTS.MAX_LUMINOUS_EFFICACY * dlambda;
}在函数开头,通过 Interpolate 函数分别获得在预定义的参考波长(kLambdaR、kLambdaG、kLambdaB)上的太阳辐照度。
然后通过一个 for 循环,从 kLambdaMin 到 kLambdaMax(波长范围)以每1nm(dlambda = 1)的步长进行积分,累加每个波长对亮度转换因子贡献的部分。对于每个波长 lambda,调用 SampleCIEColorMatchingFunction(lambda, index) 得到 CIE 1931 标准观察者的颜色匹配函数:x_bar, y_bar, z_bar 分别对应不同颜色通道在 XYZ 三刺激值中的响应。
再将 (x̅, y̅, z̅) (x_bar, y_bar, z_bar)转换成 (r_bar, g_bar, b_bar),这三个值给出了在该波长下,对应 RGB 颜色分量的权重。
用 Interpolate 获取当前波长 lambda 对应的太阳辐照度 irradiance。
irradiance / solar_channel是为了归一化当前波长与参考波长下的太阳辐照度。
Math.Pow(lambda / kLambdaX, lambda_power); 是额外的权重项,用 lambda_power 调整每个波长的贡献,可能用来控制预计算时的数值范围或其他校正目的。
在积分完成后,将每个颜色通道的累积分数乘以:CONSTANTS.MAX_LUMINOUS_EFFICACY×dlambda
private void SkySunRadianceToLuminance(out Vector3 skySpectralRadianceToLuminance, out Vector3 sunSpectralRadianceToLuminance)
{
bool precompute_illuminance = NumPrecomputedWavelengths > 3;
double sky_k_r, sky_k_g, sky_k_b;
if (precompute_illuminance)
sky_k_r = sky_k_g = sky_k_b = CONSTANTS.MAX_LUMINOUS_EFFICACY;
else
ComputeSpectralRadianceToLuminanceFactors(Wavelengths, SolarIrradiance, -3, out sky_k_r, out sky_k_g, out sky_k_b);
// Compute the values for the SUN_RADIANCE_TO_LUMINANCE constant.
double sun_k_r, sun_k_g, sun_k_b;
ComputeSpectralRadianceToLuminanceFactors(Wavelengths, SolarIrradiance, 0, out sun_k_r, out sun_k_g, out sun_k_b);
skySpectralRadianceToLuminance = new Vector3((float)sky_k_r, (float)sky_k_g, (float)sky_k_b);
sunSpectralRadianceToLuminance = new Vector3((float)sun_k_r, (float)sun_k_g, (float)sun_k_b);
}然后通过这个函数获取到 skySpectralRadianceToLuminance 和 sunSpectralRadianceToLuminance
Wikipedia里有完整的介绍:https://en.wikipedia.org/wiki/Luminous_efficiency_function

但代码中实际上的计算公式是:
也许两者之间有什么相关性
第一阶段:预计算大气透射度 Transmittance
下面是预计算大气渲染的第一阶段,计算 Transmittance Texture
#pragma kernel ComputeTransmittance
[numthreads(NUM_THREADS,NUM_THREADS,1)]
void ComputeTransmittance(uint3 id : SV_DispatchThreadID)
{
float2 gl_FragCoord = id.xy + float2(0.5,0.5);
transmittanceWrite[id.xy] = float4(ComputeTransmittanceToTopAtmosphereBoundaryTexture(gl_FragCoord), 1);
}DimensionlessSpectrum ComputeTransmittanceToTopAtmosphereBoundaryTexture(float2 gl_frag_coord)
{
const float2 TRANSMITTANCE_TEXTURE_SIZE = float2(TRANSMITTANCE_TEXTURE_WIDTH, TRANSMITTANCE_TEXTURE_HEIGHT);
Length r;
Number mu;
GetRMuFromTransmittanceTextureUv(gl_frag_coord / TRANSMITTANCE_TEXTURE_SIZE, r, mu);
return ComputeTransmittanceToTopAtmosphereBoundary(r, mu);
}GetRMuFromTransmittanceTextureUv
首先看这个函数,通过r和mu映射到纹理坐标0-1。
Number GetUnitRangeFromTextureCoord(Number u, int texture_size) {
return (u - 0.5 / Number(texture_size)) / (1.0 - 1.0 / Number(texture_size));
}更确切的说是映射到 0.5 ~ 纹理大小-1/2 ,这样可以映射到像素中心
这是反映射:
Number GetTextureCoordFromUnitRange(Number x, int texture_size) {
return 0.5 / Number(texture_size) + x * (1.0 - 1.0 / Number(texture_size));
}以下函数就从纹理坐标映射到0~1,然后计算r和mu,用于后续的Transmittance计算
void GetRMuFromTransmittanceTextureUv(float2 uv, out Length r, out Number mu)
{
Number x_mu = GetUnitRangeFromTextureCoord(uv.x, TRANSMITTANCE_TEXTURE_WIDTH);
Number x_r = GetUnitRangeFromTextureCoord(uv.y, TRANSMITTANCE_TEXTURE_HEIGHT);
// Distance to top atmosphere boundary for a horizontal ray at ground level.
Length H = sqrt(top_radius * top_radius - bottom_radius * bottom_radius);
// Distance to the horizon, from which we can compute r:
Length rho = H * x_r;
r = sqrt(rho * rho + bottom_radius * bottom_radius);
Length d_min = top_radius - r;
Length d_max = rho + H;
Length d = d_min + x_mu * (d_max - d_min);
mu = d == 0.0 * m ? Number(1.0) : (H H - rho rho - d d) / (2.0 r d);
mu = ClampCosine(mu);
}我对这部分代码进行反向几何解析,画出了这张图:

这是摘自Bruneton的原文的图片:
float2 GetTransmittanceTextureUvFromRMu(Length r, Number mu)
{
// Distance to top atmosphere boundary for a horizontal ray at ground level.
Length H = sqrt(top_radius * top_radius - bottom_radius * bottom_radius);
// Distance to the horizon.
Length rho = SafeSqrt(r * r - bottom_radius * bottom_radius);
// Distance to the top atmosphere boundary for the ray (r,mu), and its minimum
// and maximum values over all mu - obtained for (r,1) and (r,mu_horizon).
Length d = DistanceToTopAtmosphereBoundary(r, mu);
Length d_min = top_radius - r;
Length d_max = rho + H;
Number x_mu = (d - d_min) / (d_max - d_min);
Number x_r = rho / H;
return float2(GetTextureCoordFromUnitRange(x_mu, TRANSMITTANCE_TEXTURE_WIDTH),
GetTextureCoordFromUnitRange(x_r, TRANSMITTANCE_TEXTURE_HEIGHT));
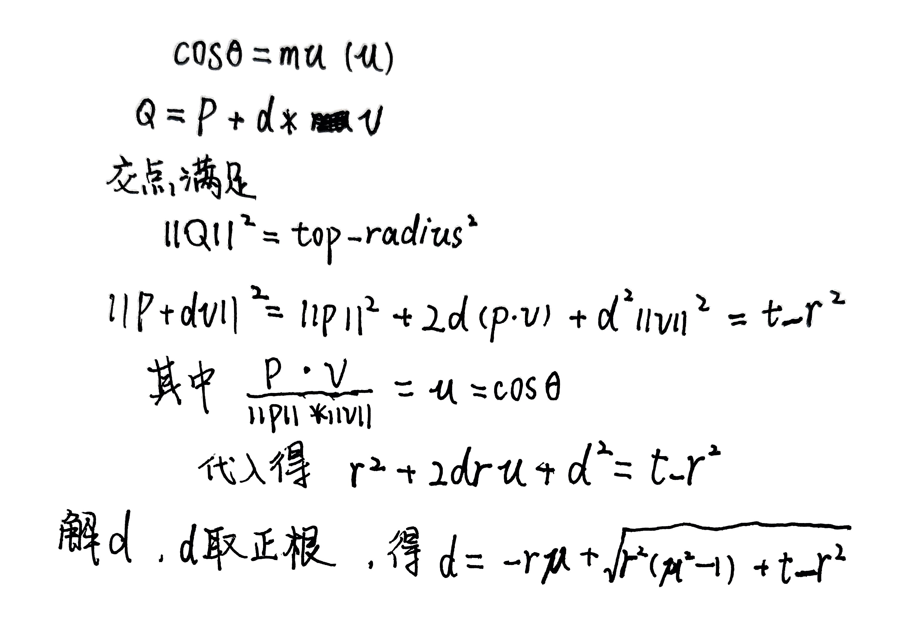
}这是从r、mu映射到0-1的结果,关键在于DistanceToTopAtmosphereBoundary函数:
Length DistanceToTopAtmosphereBoundary(Length r, Number mu)
{
Area discriminant = r * r * (mu * mu - 1.0) + top_radius * top_radius;
return ClampDistance(-r * mu + SafeSqrt(discriminant));
}原理是解二次方程,用判别式求解:

其中P是所在点,v是方向向量,v与法线方向夹角为θ
判断是否与地面相交
Length DistanceToBottomAtmosphereBoundary(Length r, Number mu)
{
Area discriminant = r * r * (mu * mu - 1.0) + bottom_radius * bottom_radius;
return ClampDistance(-r * mu - SafeSqrt(discriminant));
}
bool RayIntersectsGround(Length r, Number mu)
{
return mu < 0.0 && r * r * (mu * mu - 1.0) + bottom_radius * bottom_radius >= 0.0 * m2;
}原理也是与上面的二次方程一样,只不过把 top_radius(大气半径) 换成了 bottom_radius(地球半径)。通过判别式来判断是否与地面相交或者计算射线长度。
积分计算光学长度 Optical Length 再计算 Transmittance
Length ComputeOpticalLengthToTopAtmosphereBoundary(DensityProfile profile, Length r, Number mu)
{
// Number of intervals for the numerical integration.
const int SAMPLE_COUNT = 500;
// The integration step, i.e. the length of each integration interval.
Length dx = DistanceToTopAtmosphereBoundary(r, mu) / Number(SAMPLE_COUNT);
// Integration loop.
Length result = 0.0 * m;
for (int i = 0; i <= SAMPLE_COUNT; ++i)
{
Length d_i = Number(i) * dx;
// Distance between the current sample point and the planet center.
Length r_i = sqrt(d_i * d_i + 2.0 * r * mu * d_i + r * r);
// Number density at the current sample point (divided by the number density
// at the bottom of the atmosphere, yielding a dimensionless number).
Number y_i = GetProfileDensity(profile, r_i - bottom_radius);
// 梯形积分原则,首尾取0.5权重
Number weight_i = i == 0 || i == SAMPLE_COUNT ? 0.5 : 1.0;
result += y_i * weight_i * dx;
}
return result;
}Transmittance=exp(−τ),这里计算的是τ
在r、mu这个方向上的Optical Length等于路径上各点的积分

然后接着在下面使用上面的函数计算 Transmittance
DimensionlessSpectrum ComputeTransmittanceToTopAtmosphereBoundary(Length r, Number mu)
{
DimensionlessSpectrum density = 0;
density += rayleigh_scattering * ComputeOpticalLengthToTopAtmosphereBoundary(RayleighDensity(), r, mu);
density += mie_extinction * ComputeOpticalLengthToTopAtmosphereBoundary(MieDensity(), r, mu);
density += absorption_extinction * ComputeOpticalLengthToTopAtmosphereBoundary(AbsorptionDensity(), r, mu);
return exp(-density);
}Transmittance=exp(−τ),符合这个数学公式,把瑞利散射和米氏散射以及吸收量都计算,相加取负数再套上指数函数。
最终得到在r、mu下的Transmittance
后续
如果全写一篇会导致篇幅太长,于是分开写,后续会完成剩下预计算过程